BRO Productomgeving

Scopedocument domein Grondwatergebruik (GU)



Wijzigingen- en versiebeheer

versie 0.6

1 mei 2020

1e review domeinbegeleidingsgroep en stakeholders

versie 0.9

22 juni 2020

Review domeinbegeleidingsgroep en interne review verwerkt: ter goedkeuring in DBG/PBG/PSG

versie 1.0

16 december 2020

vastgesteld door  Programmastuurgroep (medio oktober) - titelblad

Status issue vrijgave gegevens VEWIN - pag 27

Keuzeleidraad INSPIRE ingevuld en verwerkt - Hfst 7, bijlage 3 en pgn 23

versie 1.1

26 augustus 2021

INSPIRE bijgewerkt naar laatste inzichten n.a.v. maken INSPIRE mapping

Proclaimer

Dit scopedocument markeert het begin van de ontwikkeling van de BRO-standaarden van de registratieobjecten binnen het registratiedomein Grondwatergebruik. Doel van dit scopedocument is het informeren van belanghebbenden over onder meer de inhoud van het registratiedomein, de relevante kaders zoals wetgeving en standaarden, en scoping en planning.

Het scopedocument wordt opgesteld in overleg met de belanghebbenden en vervolgens besproken in de domeinbegeleidingsgroep (DBG) en de programmabegeleidingsgroep (PBG). Uiteindelijk stelt de programmastuurgroep BRO het scopedocument vast.

De ontwikkeling van de BRO-standaard voor de registratieobjecten binnen dit registratiedomein vraagt mogelijk om keuzes die afwijken van datgene wat in dit scopedocument staat beschreven. Dit is inherent aan de gekozen werkwijze (Agile/Scrum) én aan standaardiseren in het algemeen. Voortschrijdend inzicht vraagt om nieuwe keuzes om binnen de beperkingen van tijd en geld tot een levensvatbare standaard te komen. Mocht het om fundamentele bijsturingen gaan ten opzichte van dit scopedocument, dan worden deze voorgelegd aan de programmastuurgroep. Voor het overige wordt bijsturen gezien als onderdeel van de reguliere standaardiseringswerkzaamheden.

Bij de ontwikkeling van de BRO-standaard hanteert het team standaardisatie een aantal principes voor de mate van standaardisatie. Deze principes vindt u in bijlage 1. Voor het beheer van alle scopedocumenten geldt een uniforme werkwijze. Die is vastgelegd in bijlage 2.

De uiteindelijke standaarden van registratieobjecten binnen dit registratiedomein worden opgesteld in overleg met de belanghebbenden, besproken in de domeinbegeleidingsgroep (DBG) en de programmabegeleidingsgroep (PBG). Uiteindelijk stelt de programmastuurgroep BRO de standaarden vast. De definitieve keuzes en mogelijke afwijkingen van het scopedocument zijn daarmee inzichtelijk voor alle belanghebbenden. 

https://tno-gdn.atlassian.net/wiki/plugins/servlet/confluence/placeholder/unknown-macro?name=page-break&locale=en_GB&version=2

Beschrijving van het registratiedomein

Het gebruik van de belangrijke hulpbron grondwater is wettelijk geregeld. Het onttrekken van grondwater en het infiltreren ervan in de ondergrond hebben direct invloed op de omvang van de voorraad grondwater. Kennis over de impact van het gebruik van grondwater op het grondwatersysteem is maatschappelijk relevant. Daarom heeft het meerwaarde om de gegevens van grondwatergebruik onder te brengen onder de BRO.

De verwachting is dat, op het moment dat gegevens ten aanzien van grondwatergebruik verplicht onder de BRO wet geregistreerd gaan worden, de Omgevingswet het wettelijke kader is voor de vergunnings- en meldingsplicht. Het domein Grondwatergebruik beslaat in de eerste plaats de gegevens van de onttrekkings- en infiltratie-inrichtingen die onder de verleende vergunningen en onder deze meldingen vallen. Voor deze vormen van gebruik is vandaag de dag een vergunning nodig onder de Waterwet. In een aantal gevallen met kleinere onttrekkingsvolumina volstaat een meldingsplicht. 

Ook meer indirecte vormen van gebruik van de hulpbron grondwater vallen in dit domein. Meer specifiek wordt het gebruik van de warmtecapaciteit van het grondwater bedoeld voor de opslag van warmte en/of koude, oftewel bodemenergiesystemen Voor zover dat met zogenaamde “open bodemenergiesystemen” gebeurt, wordt dat gebruik momenteel ook gedekt door de Waterwet. Voor het gebruik middels zogenaamde ”gesloten bodemenergiesystemen” geldt een meldingsplicht die momenteel onder andere wettelijke kaders valt, te weten het Activiteitenbesluit (gebaseerd op Wet milieubeheer) of het Besluit lozen buiten inrichtingen. Ook voor bodemenergiesystemen vormt de Omgevingswet in de toekomst het wettelijk kader. 

Scopekeuzes

Anders dan nu het geval is, wordt in de Omgevingswet onderscheid gemaakt tussen Wateronttrekkingsactiviteiten en Milieubelastende activiteiten. Grondwateronttrekkingen en -infiltraties vallen onder wateronttrekkingsactiviteiten, terwijl bodemenergiesystemen tot milieubelastende activiteiten worden gerekend.  In hoofdstuk 6 en 9  staat de uitwerking van deze wettelijke kaders en de gevolgen voor de gegevensinhoudelijke scope.

Het doel van de onttrekkingen bepaalt niet zozeer welke gegevens aangeleverd moeten worden aan bevoegd gezag (uitgezonderd de speciale eisen voor bodemenergiesystemen). Daarom is de uitkomst van uitgebreide discussies hierover met stakeholders in de scopingfase, om alle vergunnings- of meldingsplichtige vormen van grondwatergebruik die vallen onder de Omgevingswet--onttrekkingen (ongeacht gebruiksdoel en of grootte) en bodemenergiesystemen--, binnen scope van dit  BRO domein te plaatsen.  Dit betreft  o.a. onttrekkingen ten behoeve van drinkwater, bluswater, veedrenking, beregening, proceswater, koelwater, bronbemaling,  bodem en of grondwatersanering en peilgestuurde drainage-met pomp-.

De wetgever maakt zowel in Omgevingswet als ook in de Waterwet onderscheid tussen grondwaterinfiltraties gericht op hergebruik van het geïnfiltreeerde water en lozingen, waarbij van hergebruik geen sprake is.  Grondwaterinfiltraties die gericht zijn op hergebruik van het water, zoals ASR (Aquifer Storage &Recovery),  zijn binnen scope van dit domein.

Een andere uitkomst van discussies is dat er ook geen getalsmatige ondergrens wordt gehanteerd als scopebegrenzing, in het besef dat ook vele kleine onttrekkingen samen een significante invloed kunnen hebben op het grondwatersysteem.   Wet- en regelgeving geven bevoegde gezagen wel de mogelijkheid om  'kleine onttrekkingen' te specificeren/te verbijzonderen in meldings- dan wel vergunningsplicht en eisen tav gegevenslevering. Bij het maken van de gegevensdefinitie zal bekeken worden of de gegevensinhoud van 'kleine onttrekkingen' kan afwijken van die van 'grote onttrekkingen'.

Buiten scope

De winning van aardwarmte en de opslag en onttrekking van warmte door bodemenergiesystemen op een diepte van meer dan 500 meter valt onder de Mijnbouwwet. De Mijnbouwwet stelt afwijkende regels voor het vergunningtraject en bijbehorende registratie van productiecijfers. Voor registratie van gegevens mijnbouwwettelijke constructies is een apart BRO Registratiedomein 'Mijnbouw'. De registratie van grondwatergebruiksystemen dieper dan 500 meter onder maaiveld valt om die reden buiten scope van dit Domein Grondwatergebruik.

Om praktische redenen zijn gegevens van lozingen in de ondergrond  buiten scope geplaatst van dit domein (overigens vallen lozingen van bijvoorbeeld afvalwater dieper dan 100 m beneden het  maaiveld onder de Mijnbouwwet, zijnde 'opslag').  Het binnen scope plaatsen van gegevens van lozingen zou allereerst leiden tot een significante toename van arbeid in het standaardisatietraject. Het wettelijk kader t.a.v. lozingen binnen de Omgevingswet valt namelijk onder de zogenaamde "Bruidsschat'.  Hierbij is  de uitwerking van het wettelijk kader geheel bij de decentrale overheden neergelegd. Deze uitwerking heeft nog niet plaatsgevonden en daarmee is er geen uniform beeld van de te registreren gegevens t.a.v. lozingen.  Daarbij is te verwachten dat, vanwege verschillen in de informatieketens van infiltraties en lozingen, er ook extra ICT-ontwikkeltijd nodig is om deze beide informatiestromen in de BRO te laten landen. 


image2020-6-5_14-27-17.png

Figuur: Scopebegrenzing vanuit perspectief wettelijk kader/ diepte


Tenslotte is in de scopingfase de nut, noodzaak en haalbaarheid van opname van de gegevens van een aantal 'perifere vormen van grondwatergebruik' bediscussieerd. Geconcludeerd is dat deze buiten scope vallen:  

  • (Passieve) hemelwater infiltratie (middels wadi's,  infiltratiegrind-kratten e.d) : Gegevens over deze vorm van infiltratie van overtollig regenwater zijn niet goed meetbaar en worden ook niet structureel vastgelegd door gemeentes. Het is daarom (nog) niet haalbaar om deze systemen te registreren in de BRO.

  • Natuurlijke bronnen -'spontaan', aan maaiveld uittredend,  grondwater in hellend gebied) zoals bronnen in het Limburgse heuvelland en al dan niet 'bekiste' Veluwse sprengen: Debietmetingen van deze bronnen worden nu niet structureel uitgevoerd door waterbeheerders; het is daarom niet haalbaar om de gegevens onder een verplichtend BRO regime op te nemen.

Registratieobjecten in dit domein en hun onderlinge samenhang

Binnen dit domein worden twee registratieobjecten onderscheiden van het type “constructies” (wet BRO artikel 21) . Dit zijn het Grondwatergebruiksysteem (GUF - Ground water usage facility) en Grondwaterproductiedossier (GPD- Ground water Production Dossier).  De legitimatie om  Grondwaterproductiedossier tot het type 'constructie' te rekenen ligt in artikel 21 lid h : constructie omvat ook  'de meetresultaten die  in het kader van de constructie zijn verkregen'.

Grondwatergebruiksysteem (GUF: Ground water Usage Facility)

Een Grondwatergebruiksysteem is een systeem voor direct of indirect gebruik van het grondwater. Onder direct gebruik wordt verstaan het onttrekken van grondwater of het infiltreren van water in de ondergrond. Onder indirect gebruik valt het benutten van de warmtecapaciteit van het grondwater; een voor dat doel ingericht systeem heet een gesloten bodemenergiesysteem. Het registratieobject is een systeem waarvoor het bevoegd gezag een vergunning heeft verleend (en een beschikking heeft afgegeven) of die bij het bevoegd gezag formeel is aangemeld. Voor deze systemen dienen op grond van wettelijke verplichtingen (zie hoofdstuk 6) door systeemeigenaar (vergunningnemer / meldingsplichtige of zijn/haar adviseur) een aantal systeembeschrijvende gegevens te worden aangeleverd aan bevoegd gezag. Dit betreft zowel ontwerpgegevens als ook  gegevens van gerealiseerde gegevens (zie ook paragraaf 6.3).  Dit registratieobject is een object met een levensduur en met materiele geschiedenis : voor bepaalde eigenschappen,  zoals de status van het systeem (zie H9), worden gedurende de levensduur veranderingen, die in de werkelijkheid plaatsvinden, geregistreerd.   

Grondwaterproductiedossier (GPD: Ground water Production Dossier)

Het registratieobject Grondwaterproductiedossier omvat de in de loop van de tijd aan het bevoegd gezag op grond van wettelijke plicht gerapporteerde productiecijfers van een Grondwatergebruiksysteem. Dit registratieobject is ook een object met een levensduur, waaraan gedurende de levensduur met zekere regelmaat nieuwe gegevens worden toegevoegd. 

Het registratieobject grondwatergebruiksysteem (GUF) heeft een eigen locatie; het grondwaterproductiedossier (GPD) alleen indirect, omdat het is gekoppeld aan een grondwatergebruiksysteem. In de nadere uitwerking van de gegevensinhoud zal worden vastgesteld op welk niveau van het grondwatergebruiksysteem (GUF) de gegevens van grondwaterproductiedossier (GUF) daadwerkelijk gekoppeld wordt (dus binnen GUF ofwel op systeem- of puttengroep- of put-niveau).



image2020-2-24_11-36-59.png


Figuur: Samenhang van Registratieobjecten (in geel) binnen dit domein. Relevante vergunningsgegevens worden ondergebracht  onder het registratieobject Grondwatergebruikssysteem.  

Het is niet mogelijk en ook niet noodzakelijk om een apart vergunnings-registratieobject van het type "gebruiksrecht" (BRO wet artikel 20) te onderscheiden omdat:

a) bij een registratieobject van het type 'gebruiksrecht' er volgens de wet BRO sprake moet zijn van een gebiedsbegrenzing waarvoor het gebruiksrecht geldt. In het vergunningskader van de Waterwet is daar geen sprake van : er wordt een vergunning verleend om op een bepaalde locatie een grondwater te gebruiken. Binnen de Omgevingswet lijkt van een dergelijke gebiedsafbakening ook geen sprake van te zijn. Het "beschermingsgebied" zoals die in de Omgevingwet worden genoemd, betreft een specifieke gebiedsaanduiding waar nadere regels rond vergunningverlening gelden; dit is dus duidelijk iets anders dan een gebiedsafbakening van een vergunning. Ook het in de Omgevingswet genoemde "werkingsgebied" lijkt hier niet relevant te zijn; deze term is verbonden aan toegekende functies en/of regels van gebieden, vergelijkbaar met bestemmingen onder de huidige wetgeving.

b) de relevante vergunningsgegevens die onderdeel worden van de IMBRO gegevensinhoud kunnen worden ondergebracht onder het Registratieobject Grondwatergebruiksysteem.


In hoofdstuk 9 staat voor beide registratieobjecten globaal aangegeven welke gegevens behoren tot de IMBRO gegevensinhoud (en welke buiten scope zijn).

Relaties met gegevens in andere BRO registratiedomeinen.

De systemen die tot dit domein behoren, hebben in bijna alle gevallen een relatie met gegevens die in andere BRO registratiedomeinen vallen. De boorbeschrijving van het boorgat waarin een onttrekkingsput wordt ingericht wordt geregistreerd onder het Registratieobject Booronderzoek binnen het BRO domein Bodem en Grondonderzoek. De grondwaterstandsonderzoeken die in vele gevallen verplicht rondom een onttrekking moeten worden uitgevoerd vallen onder het Domein Grondwatermonitoring, waarin zowel de monitoringput , het monitoringnet en de grondwaterstandonderzoeksgegevens zelf een plek hebben. Het leggen van gegevensinhoudelijke, domeinoverstijgende koppelingen tussen gegevens van deze verschillende domeinen is, net zoals bij eerdere standaardisatietrajecten, vooralsnog buiten scope gehouden. Het uitgangspunt is daarbij dat voor deze koppelingen functionele oplossingen aan de uitgiftekant binnen de keten ontwikkeld kunnen worden, bijvoorbeeld gebaseerd op locatiegegevens en/of bronhouderschap.

Het (keten)werkproces waarin gegevens van RO’s binnen het registratiedomein worden geproduceerd


De huidige processtroom waarin de gegevens van GUF en GPD worden geproduceerd is weergegeven in onderstaand figuur:


image2020-5-25_15-59-44.png


De aanvraag van een vergunning of het doen van een melding door een vergunningnemer/melder wordt voorafgegaan door een ontwerpproces waarin de locatiekeuze en het technisch systeemontwerp wordt gemaakt. De aanvrager levert op basis van wettelijke plicht (zie hoofdstuk 6) t.a.v. meldplicht of vergunningaanvraag de ontwerpgegevens aan het bevoegd gezag, via de portalen Omgevingsloket/ActiviteitenbesluitInternetModule. De gegevens worden ter beoordeling van de melding of aanvraag ofwel eerst geregistreerd in het zaaksysteem van het bevoegd gezag ofwel ze worden door bevoegd gezag rechtstreeks geregistreerd in LGR. Bevoegd gezag beoordeelt de aanvraag op compleetheid en haalbaarheid. Wanneer tot vergunningverlening wordt besloten, wordt een beschikking afgegeven, waarna de vergunningnemer het systeem kan realiseren. Indien er afwijkingen ontstaan tussen een ontwerp en gerealiseerd systeem (bijvoorbeeld omdat het filter van een onttrekkingsput in de praktijk op een andere diepte wordt geplaatst na de constatering dat zich op de ontwerpdiepte een slecht doorlatende kleilaag bevindt) worden de gerealiseerde gegevens doorgegeven aan bevoegd gezag (zie ook paragraaf 6.3). In de exploitatiefase wordt door de vergunningnemer, of de melder, de status van het systeem en de wettelijk verplichte productiegegevens aangeleverd aan bevoegd gezag.

Door een groot aantal bevoegd gezagen (maar dus niet alle) worden deze gegevens in het Landelijk Grondwater Register-LGR (zie hoofdstuk 5) geregistreerd. Vanuit het LGR worden INSPIRE webservices beschikbaar gesteld waarmee bijvoorbeeld de WKO tool Bodemenergieinformatiesysteem) wordt 'gevoed'.

De mogelijk toekomstige processtroom waarbij de BRO onderdeel vormt van de gegevensstroom kan er als volgt uit zien:


image2020-5-25_16-3-14.png


In dit scenario wordt de invoer afgehandeld in het Digitaal Stelsel Omgevingswet (DSO) en worden de BRO gegevens ofwel rechtsreeks vanuit DSO ofwel vanuit de zaaksystemen van de bevoegd gezagen (de bronhouders) aangeleverd aan het bronhouderportaal (BHP-BRO). Na doorlevering naar de LV-BRO kunnen deze gegevens worden uitgegeven naar LGR, maar ook naar de standaard BRO uitgiftekanalen BROloket en PDOK). De inrichting van met name het aanleverproces  en de gebruikte software functionaliteit daarin ( zie ook Hoofdstuk 4) is mogelijk mede bepalend voor het BRO berichtenverkeer van dit domein. Dit zal in de verdere uitwerking van standaardisatie van berichten onderzocht moeten worden.     

 Stakeholders


Het registratiedomein Grondwatergebruik kent een groot aantal verschillende stakeholders die in de volgende paragrafen in verschillende categorieën zijn ingedeeld:

In het kader van aanleveren aan de BRO

Bronhouders

Bestuursorganen die in hun rol als bevoegd gezag grondwatergebruiksvergunningen afgeven dan wel -meldingen registreren en gegevens ten aanzien daarvan moeten (laten) registreren in de BRO:

  • Rijkswaterstaat

  • Provincies

  • Waterschappen

  • Gemeentes

Dataleveranciers

Naast hierboven genoemde bronhouders die ook een BRO dataleverancier-rol kunnen hebben zijn er bestuurlijke samenwerkingsverbanden die een uitvoerende rol hebben in vergunningverlening, toezicht en handhaving (VTH) en daarmee namens bevoegd gezagen gegevens verzamelen en kunnen gaan aanleveren aan de BRO

  • Regionale Uitvoeringsdiensten

  • Omgevingsdiensten

Vergunningnemers/meldingsplichtigen

Een niet uitputtende lijst van publieke of private organisaties die op basis van een aan hun verstrekte vergunning dan wel door hun verstrekte melding aan bevoegd gezag een grondwatergebruikssysteem realiseren (de systeemeigenaren) en gegevens ten aanzien daarvan produceren en moeten aanleveren aan bevoegd gezag:

  • Drinkwaterbedrijven**

  • Grondwateronttrekkende industrie en landbouwbedrijven

  • Veiligheidsregio's, i.v.m. bluswatergebruik 

  • (Ondiepe) bodemenergie-exploitanten (bedrijven, ziekenhuizen, overige instellingen)

  • Aannemers

**Momenteel wordt juridisch onderzocht of het mogelijk is om drinkwaterbedrijven aan te merken als bronhouders. Vanwege de formele verplichtingen die daar wettelijk bij horen is daarvoor een wetsaanpassing nodig.


Adviseurs/uitvoerders 

Alle private organisaties die een adviserende/ontzorgende rol hebben in het ontwerp, realisatie en beheersproces voor vergunningnemers/meldingsplichtigen en die in die rol (meestal op contractbasis) relevante gegevens ten aanzien van grondwatergebruikssystemen produceren:

  • Marktpartijen: advies- en ingenieursbureaus, aannemers, veldwerkbureaus

  • Kennisinstellingen

Onderkend wordt dat zowel stakeholders uit de categorie Vergunningnemers/meldingsplichtigen en uit de categorie Adviseurs/uitvoerders de BRO-rol van dataleverancier kunnen gaan krijgen.

In het kader van afnemen uit de BRO


Bestuursorganen

Bestuursorganen die geregistreerde grondwatergebruiksgegevens uit de BRO verplicht moeten gebruiken:

  • Rijksoverheidsorganisaties, gelieerd aan een ministerie, onder andere:RIVMRijkswaterstaatStaatsbosbeheerMinisterie van DefensieMinisterie van I&WMinisterie van LNV

  • Provincies

  • Waterschappen

  • Gemeentes

  • Regionale uitvoeringsdiensten/omgevingsdiensten

  • Veiligheidsregio's, i.v.m. bluswatergebruik 

  • RVO

Private organisaties

Private organisaties die ofwel een adviserende/uitvoerende rol hebben in grondwatervraagstukken van bestuursorganen of andere private organisaties, ofwel vanuit hun eigen behoefte grondwatergebruiksgegevens willen gebruiken:

  • Drinkwaterbedrijven

  • Grondwateronttrekkende industrie

  • Bodemenergie-exploitanten (bedrijven, ziekenhuizen, overige instellingen)

  • Natuurterreinbeheersorganisaties

  • Exploitanten van ondiepe minerale delfstoffen (zand/grind/klei)

  • ProRail

  • Gasunie en nutsbedrijven

  • Marktpartijen: advies- en ingenieursbureaus, veldwerkbureaus

  • Kennisinstellingen, universiteiten en adviescommissies

  • Brancheorganisaties, zoals VEWIN (waterbedrijven), BodemenergieNL

  • NGO’s zoals Greenpeace en Milieudefensie

  • Burgers of burgerorganisaties

Gremia

Stakeholders zijn georganiseerd in de volgende overlegstructuren en kennisuitwisselingsplatformen:

  • Werkgroep LGR 

  • Brancheorganisatie bodemenergieadviseurs Bodemenergie.nl

  • Brancheorganisatie waterbedrijven VEWIN

  • STOWA Adviesgroep Watersysteemanalyse: deze adviesgroep adviseert de Programmacommissie Watersysteemonderzoek van STOWA op het gebied van modellering en watersysteemanalyses. 

  • UvW Themagroep Grondwater en Ondergrond: een strategisch en beleidsmatig platform van de waterschappen voor uitwisseling van kennis en ervaring.

  • Werkgroep Stedelijk Grondwater: deze landelijke werkgroep is een onafhankelijk forum voor uitwisseling van kennis op het gebied van stedelijk grondwater. De werkgroep organiseert regelmatig bijeenkomsten met wisselende onderwerpen.

  • Nederlandse Hydrologische Vereniging: deze beroepsvereniging bevordert de uitoefening van de hydrologie, de wetenschap die de kringloop van het water boven, op en onder het aardoppervlak bestudeert.

  • Contactgroep Putten: dit overlegorgaan van puttenexperts van de Nederlandse (en een aantal Vlaamse) drinkwaterbedrijven besteedt aandacht aan de technische aspecten van grondwateronttrekkingen.

  • NHI-programmateam, NHI-uitvoeringsteam en NHI-begeleidingscommissie database: in deze groepen, die zijn ingesteld vanuit het Nederlands Hydrologisch Instrumentarium, zijn de opdrachtgevende organisatie, de uitvoerende organisaties en stakeholders op het gebied van database-ondersteuning vertegenwoordigd.

  • Provinciaal Vakberaad Bodemenergie

  • SIKB (Stichting Infrastructuur Kwaliteitsborging Bodembeheer) is een netwerkorganisatie waarbinnen overheid en bedrijfsleven samen praktijkgerichte kwaliteitsrichtlijnen, handleidingen en protocollen maken voor bodem, water, archeologie, bodembescherming en datastandaarden. 

 Bestaande softwaresystemen (in bestaande architectuur)


Ontwerp

Ten behoeve van ontwerp van grondwatergebruiksystemen worden door vergunningnemers en/of hun adviseurs simulatie software gebruikt waarmee grondwater/temperatuurstroming wordt gesimuleerd, zoals FeFlow, Visual ModFlow en Earth Energy Designer.

Vergunningverlening Toezicht en Handhaving (VTH) 

In het vergunningstraject wordt, nadat gegevens via portalen zoals Omgevingsloket/ActiviteitenbesluitInternetModule zijn aangeleverd, door bevoegd gezagen of hun uitvoeringsdiensten gebruik gemaakt van commerciële zaaksystemen. De VNG geeft middels onderstaande website inzicht in de variëteit die daarin bestaat:

https://www.softwarecatalogus.nl/pakketten/referentiecomponent_pakket/Zaakregistratiecomponent/versions_supports_application_function/beheren-van-zaken-751

Een tweetal, door stakeholders benoemde, zaaksystemen wordt hieronder kort beschreven als voorbeeld: 

Mozard zaaksysteem:  Het webbased Mozard zaaksysteem is gebaseerd op de uitgangspunten van zaakgericht werken en voldoet aan de standaarden van het GFO zaken (Gemeentelijk Functioneel Ontwerp) en de RGBZ (Referentiemodel Gemeentelijke Basisgegevens Zaken). Middels o.a. het doorlopen van statussen, het zetten van checks, het vullen van kenmerken en het toevoegen van documenten, wordt de zaak behandeld in het zaaksysteem. 

Squit 2020 Squit XO:  De Squit 20/20 Suite is een zaaksysteem voor het omgevingsdomein waarin bouwprojecten, vergunningverlening, toezicht, handhaving en de ondergrond afgehandeld kunnen worden. Het systeem heeft drie deelproducten die zijn gericht op 1. Procesondersteuning 2. Het Omgevingsdossier 3. De Samenwerkingsruimte. 


 Bestaande registraties


In de wet BRO is vastgelegd dat de gegevens uit de registraties DINO (van TNO-GDN) en BIS (van WENR) ingebracht moeten worden in de BRO, voor zover de informatie relevant is en voldoet aan de gegevensinhoudelijke eisen. Voor dit registratiedomein geldt dat BIS geen gegevens bevat die onder dit domein vallen. DINO bevat historische gegevens van een gering aantal onttrekkingsputten van Waterbedrijven. Onderzocht moet worden of deze ( meest gedateerde) gegevens gemigreerd moeten worden: mogelijk zijn deze gegevens ook in het LGR (zie hieronder) geregistreerd.

Daarnaast staat in de wet BRO dat organisaties historische gegevens met terugwerkende kracht in mogen brengen. Hiervoor geldt geen verplichting. Uitgangspunten zijn dan wel dat:

  1. de gegevens voldoen aan de gegevensinhoudelijke eisen, Kwaliteitsregime IMBRO/A (zie hoofstuk 9)

  2. een bestuursorgaan de bronhouderverantwoordelijkheid draagt voor deze gegevens.

Naast DINO zijn voor dit domein de volgende bestaande registraties relevant in dit kader:

Landelijk Grondwater Register

Het LGR is een grote landsdekkende digitale database waarmee de toestand van het grondwatervoorraadbeheer van de provincie of het waterschap, op enig moment is vast te stellen. De gegevens in het LGR geven inzicht in de individuele vergunning of melding. De vergunning (het feitelijke besluit) zelf is niet opgenomen in het systeem. De gegevens over de daadwerkelijk onttrokken hoeveelheid geven inzicht in de omvang van de onttrekkingen in een bepaald gebied. Ook zijn deze gegevens de wettelijke en noodzakelijke basis voor het opleggen van de provinciale grondwaterheffingen. Een groot deel van de bevoegd gezagen ( inclusief gemeentes) registreren hun gegevens t.a.v. vergunnings en meldingsplichtig grondwatergebruik in het LGR. Het LGR bevat gegevens van grondwatergebruiksystemen met verschillende gebruiksdoelen. Globaal gezien omvat het LGR gegevens van:

  • 96.000 onttrekkingen (drinkwater, industriewater, beregening/veedrenking, bronbemaling, bodem/grondwatersanering)

  • 230 infiltraties

  • 2.000 combinatie van onttrekking/infiltratie (incl. retourbemaling?)

  • 3.200 open bodemenergiesystemen

  • 17.000 gesloten bodemenergiesystemen

De gegevensinhoud van LGR overstijgt de beoogde gegevensinhoud van de BRO, omdat LGR niet alleen gegevens van algemeen belang herbergt, maar ook allerlei administratieve en financiële beheersgegevens van de vergunningen en meldingen die alleen voor bevoegd gezag van belang zijn.

De inhoud van het LGR is af te nemen via (INSPIRE compliant) uitgifte webservices.

Zaaksystemen en lokale databases

Bevoegd gezagen die geen gebruik maken van het LGR, beheren hun gegevens in hun lokale zaaksystemen (zie Hoofdstuk 4). Ook zijn er bevoegd gezagen/uitvoeringsdiensten die eigen lokale databases hebben, waarin zij bijvoorbeeld de gegevens van open bodemenergiesystemen beheren.

Onderkend is dat het meerwaarde heeft om historische gegevens van, met name nog bestaande onttrekkingssystemen, uit het LGR of lokale zaaksystemen te migreren naar de BRO. Hoewel hiertoe  geen wettelijke verplichting geldt, zullen wel essentiele gegevens van bestaande grondwatergebruikssystemen, waarvoor na inwerkingtreding van wettelijke een registratieverplichting van Grondwaterproductiedossier-gegevens gaat gelden, geregistreerd dienen te worden.     

Onttrekkingen database Nationaal Hydrologisch Instrumentarium 

Deze database/webservice is een initiatief van de gezamenlijke Nederlandse drinkwaterbedrijven, met als doel om gegevens van grondwateronttrekkingen op een uniforme manier en vanaf een centrale plek beschikbaar te stellen aan hydrologen en grondwatermodelleurs. Met de NHI-GWO database en webservice functionaliteit kunnen grootschalige grondwateronttrekkingsgegevens in Nederland opgevraagd worden. Gegevens in het LGR wordt in de praktijk (van grondwatermodelleurs) als minder bruikbaar voor modellering beoordeeld onder andere omdat de rapportage frequentie van geproduceerde hoeveelheden richting LGR te grofmazig is. De NHI-GWO webservice is ontwikkeld door KWR Watercycle Research Institute en wordt beheerd door Deltares. De onttrekkingen-database is nog niet landsdekkend. De database is momenteel gevuld door/voor Brabant Water en WML, Vitens is bezig de database te vullen. Deze gegevens zijn waarschijnlijk actueel, en qua scope nog beperkt tot de onttrekkingen t.b.v. drinkwatervoorziening. Voorzien is dat de database verder wordt gevuld, en ook wordt uitgebreid voor industriële winningen.


 Wettelijk kader en voorschriften

Het domein  Grondwatergebruik is onderdeel van de vierde tranche van de BRO, welke op 01-01-2022 in werking treedt. Op dat moment is de Omgevingswet en aanverwante wet- en regelgeving (oa. Besluit Activiteiten Leefomgeving (hierna BAL), Omgevingsbesluit en Omgevingsregeling) operationeel en vormt zij het juridische kader rond dit domein. Ten tijde van het schrijven van dit scopedocument is dat evenwel nog niet het geval en is de Waterwet vigerend. Wet- en regelgeving bepalen welk orgaan bevoegd gezag is, welke activiteiten vergunning- of meldingsplichtig zijn en (op hoofdlijnen) welke gegevens wanneer aan het bevoegd gezag aangeleverd moeten worden. In dit hoofdstuk geven we een overzicht van deze zaken. Daarbij richten we ons primair op de nieuwe Omgevingswet-regelgeving, maar waar nodig verwijzen we naar de Waterwet en andere momenteel nog vigerende regelgeving. In bijlage 4 is het huidige wettelijk kader opgenomen. Het inzicht in, door vergunningnemers/meldingsplichtigen aan bevoegd gezag  aan te leveren gegevens, vormt ook de grondslag voor de in de BRO te registreren gegevens (zie Hoofdstuk 9).  

Grondwateronttrekkingen en -infiltraties

Anders dan nu het geval is, wordt in de Omgevingswet onderscheid gemaakt tussen Wateronttrekkingsactiviteiten en Milieubelastende activiteiten. Grondwateronttrekkingen en -infiltraties vallen onder wateronttrekkingsactiviteiten, terwijl bodemenergiesystemen tot milieubelastende activiteiten worden gerekend. Deze herschikking leidt ertoe dat regelgeving rondom vergunningverlening en/of meldingsplicht van beide systeemtypen uit elkaar is getrokken. 

Grondwateronttrekkingen en -infiltraties: wateronttrekkingsactiviteiten

Het Omgevingsbesluit definieert wie bevoegd gezag is voor grondwateronttrekkingen en -infiltraties (art. 4.1.2 t/m 4.5). In principe geldt de provincie als bevoegd gezag (art. 4.3), tenzij in een waterschapsverordening is bepaald dat de onttrekking vergunningplichtig is (in dat geval wordt het waterschap bevoegd gezag) of wanneer de onttrekking voorzien is in een rijkswater (gedefinieerd in art. 3.1) (art. 4.4). Wanneer twee organisaties als bevoegd gezag zijn aangewezen, gaat rijk voor provincie én waterschap en provincie voor waterschap (art. 4.5). Alle vergunningvrije grondwateronttrekkingen zijn meldingsplichtig (de vraag welk OW-artikel/besluit dit regelt is in deze versie van het scopedocument nog niet beantwoord en is 'pending')  

BAL Artikel 16 bepaalt dat met "wateronttrekking" zowel de wateronttrekkingen als de infiltraties (met het doel om op een later moment weer te onttrekken) worden bedoeld (art. 16.1a)  voor industriële toepassingen van meer dan 150.000 m 3 /jaar water, of voor de openbare drinkwatervoorziening. Al deze activiteiten zijn vergunningplichtig (art. 16.4). Voor industriële onttrekkingen kan het bevoegd gezag middels een omgevingsverordening afwijken van de vergunningplicht (art. 16.5). 

Bij een aanvraag om een omgevingsvergunning voor een wateronttrekkingsactiviteit voor een industriële toepassing of voor de openbare drinkwatervoorziening als bedoeld in de artikelen 16.3 en 16.4 van het Besluit activiteiten leefomgeving worden de volgende gegevens en zaken aangeleverd aan het bevoegd gezag (Omgevingsregeling art. 7.206):

a. het aantal in te richten putten;

b. de coördinaten van iedere put;

c. de diepte van de onderkant en de bovenkant van de filters in meters van iedere put ten opzichte van het maaiveld en het Normaal Amsterdams Peil;

d. de lengte in meters van het effectieve filter in iedere put;

e. de capaciteit van de pomp in kubieke meters water per uur per put;

f. de hoeveelheid water in kubieke meters water per uur, etmaal, maand en jaar, die ten hoogste wordt onttrokken;

g. een beschrijving van de mogelijke negatieve gevolgen van de onttrekking en de maatregelen of voorzieningen die worden getroffen om die gevolgen te voorkomen of te beperken;

h. als het gaat om een wateronttrekkingsactiviteit voor een industriële toepassing: het doel waarvoor het te onttrekken grondwater wordt gebruikt; en

i. als het gaat om het in samenhang met het onttrekken van grondwater in de bodem brengen van water ter aanvulling van het grondwater:

1°. de hoeveelheid water in kubieke meters water per uur, etmaal, maand en jaar die ten hoogste in de bodem wordt gebracht;

2°. de diepte in meters waarop het water in de bodem wordt gebracht;

3°. een beschrijving van de samenhang van het brengen van water in de bodem met de onttrekking;

4°. de herkomst en samenstelling van het water dat in de bodem wordt gebracht; en

5°. een beschrijving van de maatregelen of voorzieningen die worden getroffen om de negatieve gevolgen van het brengen van water in de bodem te voorkomen of te beperken.

Voor onttrekkingen van grondwater onder een opppervlaktewaterlichaam dat  in beheer is bij het Rijk gelden de volgende regels (Omgevingsregeling art. 7.167):

Bij een aanvraag om een omgevingsvergunning voor het onttrekken van grondwater door een daarvoor bestemde voorziening in/onder een oppervlaktewaterlichaam in beheer bij het Rijk of het in de bodem brengen van water voor aanvulling van het grondwater, in samenhang met het onttrekken van grondwater door een daarvoor bestemde voorziening in/onder een oppervlaktewaterlichaam in beheer bij het Rijk, bedoeld in artikel 6.37, eerste lid, van het Besluit activiteiten leefomgeving, worden de volgende gegevens en bescheiden verstrekt:

a. het doel waarvoor het te onttrekken grondwater wordt gebruikt;

b. het aantal in te richten putten;

c. de coördinaten van iedere put;

d. de diepte van de onderkant en de bovenkant van de filters van iedere put ten opzichte van het maaiveld en het Normaal Amsterdams Peil;

e. de lengte in meters van het effectieve filter in iedere put;

f. de capaciteit van de pomp in kubieke meters water per uur per put;

g. de hoeveelheid water in kubieke meters water per uur, etmaal, maand en jaar, die ten hoogste wordt onttrokken;

h. de verwachte datum en het verwachte tijdstip van het begin van de activiteit en de verwachte duur ervan; en

i. een beschrijving van de mogelijke negatieve gevolgen van de onttrekking en de maatregelen of voorzieningen die worden getroffen om die gevolgen te voorkomen of te beperken.

Het aanleveren van productiegegevens van vergunde en gemelde grondwateronttrekkingen is op dit moment beschreven in Waterbesluit art. 6.11.:

  • In elk kwartaal wordt de onttrokken hoeveelheid grondwater gemeten. De meter moet minimaal 95% nauwkeurig zijn.

  • Voor kortdurende of seizoensgebonden onttrekkingen kan in de vergunning of middels maatwerk (een keur mag gezien worden als een maatwerkbesluit), mag een kortere tijdspanne worden gemeten, bijvoorbeeld per dag, per week of per maand.

  • De gemeten hoeveelheden moeten jaarlijks voor 31 januari van elk jaar, of binnen een maand na beëindiging van de grondwateronttrekking worden aangeleverd aan het bevoegd gezag.

  • Een provincie (middels de provinciale verordening) en een waterschap (middels verordening van het waterschap) mogen afwijken van de hierboven genoemde voorwaarde als het gaat om grondwateronttrekkingen waarvoor zij bevoegd gezag zijn.

Onder de Omgevingswet wordt één en ander waarschijnlijk geregeld in het Besluit Kwaliteit Leefomgeving. De regels over monitoring worden ingevoegd via het Invoeringsbesluit Omgevingswet en eventueel de Invoeringsregeling Omgevingswet (NvT bij Bkl, p. 497). 

Grondwateronttrekkingen ten behoeve van een bodemsanering wijken juridisch gezien af van bovenstaande kader. Voor deze onttrekkingen is het waterschap bevoegd gezag, tenzij de onttrekking bijvoorbeeld buitendijks ligt, in gebieden van  Rijkswaterstaat. In die gevallen is Rijkswaterstaat  bevoegd gezag.  Dit juridische domein behoeft nog verdere aandacht. 

Bodemenergiesystemen

Gesloten Bodemenergiesystemen

BAL art. 2.3 wijst gemeenten aan als bevoegd gezag voor gesloten bodemenergiesystemen. Provincies zijn op basis van art. 2.5 bevoegd gezag voor open bodemenergiesystemen. BAL art. 3.18 bepaalt dat bodemenergiesystemen een milieubelastende activiteit zijn. Vervolgens geeft artikel 3.19 aan dat alle open bodemenergiesystemen en alle gesloten bodemenergiesystemen met een bodemzijdig vermogen groter dan 70 kW vergunningplichtig zijn. Tenslotte bepaalt art. 3.20 dat voor gesloten én voor open bodemenergiesystemen regels gelden, welke in de paragrafen 4.111 (gesloten systemen) en 4.112 (open systemen) zijn uitgewerkt. 

Voor gesloten bodemenergiesystemen schrijft BAL-paragraaf 4.111 voor dat:

  • alle niet-vergunningplichtige gesloten bodemenergiesystemen meldingsplichtig zijn (art. 4.1136):

  • zowel de melding als de vergunningaanvraag in ieder geval de volgende gegevens en zaken bevat (art. 4.1137):

a. een plattegrondtekening en situatietekening met daarop de ligging van de lussen van het gesloten bodemenergiesysteem, het middelpunt van het systeem en de einddiepte waarop het systeem zal worden aangelegd;

b. de coördinaten van het middelpunt van het gesloten bodemenergiesysteem en de einddiepte van het systeem in meters onder het maaiveld;

c. gegevens waaruit blijkt dat het gebruiken van het gesloten bodemenergiesysteem niet leidt tot negatieve interferentie met bodemenergiesystemen die al in de omgeving zijn aangelegd, of die nog niet zijn aangelegd maar waarvoor een melding is gedaan of een omgevingsvergunning is verleend;

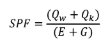
d. een verklaring van degene die het gesloten bodemenergiesysteem installeert over het energierendement, uitgedrukt als de SPF, dat het systeem zal behalen. De SPF is als volgt gedefinieerd (art. 4.1144):

image2020-5-18_9-17-10.png

waarbij wordt verstaan onder:

Qw: de hoeveelheid warmte per jaar in MWh die door het gesloten bodemenergiesysteem wordt geleverd;

Qk: de hoeveelheid koude per jaar in MWh die door het systeem wordt geleverd;

E: de hoeveelheid elektriciteit per jaar in MWh die door het systeem wordt verbruikt;

G: de hoeveelheid gas per jaar in MWh die door het systeem wordt verbruikt.

e. informatie over het bodemzijdig vermogen van het gesloten bodemenergiesysteem en de omvang van de behoefte aan warmte en koude waarin het systeem zal voorzien; en

f. de naam en het adres van degene die het gesloten bodemenergiesysteem zal installeren.

  • van gesloten bodemenergiesysteem met een bodemzijdig vermogen groter dan 70 kW en van systemen in de utiliteitsbouw (alle gebouwen, uitgezonderd gebouwen met een woonfunctie) de volgende gegevens geregistreerd worden, en jaarlijks voor 1 april aan het bevoegd gezag worden aangeleverd (art. 4.1138):

a. de hoeveelheden warmte en koude die vanaf de datum waarop het gesloten bodemenergiesysteem in gebruik werd genomen aan de bodem zijn toegevoegd;

b. het jaarlijks energierendement; en

c. de gemiddelde temperatuur per maand van de circulatievloeistof in de leiding waarin de circulatievloeistof wordt teruggeleid naar de bodem.

Hierbij bepaalt art. 4.1145 dat de hoeveelheden warmte en koude die aan de bodem worden toegevoegd, worden gemeten met momentane metingen met een meetonnauwkeurigheid van ten hoogste 5% die ten minste een keer per vijftien minuten worden verricht.

  • voorafgaand aan het beëindigen van het gebruik van het bodemenergiesysteem deze gegevens worden aangeleverd aan het bevoegd gezag (art. 4.1146):

a. gegevens over de manier waarop het gesloten bodemenergiesysteem buiten gebruik wordt gesteld; en

b. de naam en het adres van degene die de werkzaamheden gaat verrichten.


Open bodemenergiesystemen

Voor open bodemenergiesystemen gelden de volgende regels:

  • alle niet-vergunningplichtige open bodemenergiesystemen zijn meldingsplichtig (art. 4.1149), waarbij opgemerkt in BAL-art. 2.16 dat provincies middels een omgevingsverordening om doelmatigheidsredenen de systemen die minder dan 10 m3 grondwater per uur oppompen kunnen vrijstellen van de vergunningplicht:

  • In de Omgevingsregeling art. 7.35 is voorgeschreven dat voor de vergunningaanvraag van een open bodemenergiesysteem de volgende gegevens en zaken worden aangeleverd: 

a. de capaciteit van de pomp of pompen in kubieke meters water per uur;

b. de hoeveelheid water die ten hoogste in de bodem wordt gebracht en de hoeveelheid grondwater die wordt onttrokken, in kubieke meters water per uur, etmaal, maand en jaar;

c. een beschrijving van de hydrologische en hydrothermische gevolgen van het in de bodem brengen van water en het onttrekken van grondwater;

d. de maximale temperatuur in graden Celsius van het water dat in de bodem wordt gebracht;

e. de coördinaten van iedere put;

f. de diepte van de onderkant en de bovenkant van de filters in meters van iedere put ten opzichte van het maaiveld en het Normaal Amsterdams Peil;

g. de lengte in meters van het effectieve filter in iedere put;

h. de omvang van de behoefte aan warmte en koude waarin het bodemenergiesysteem zal voorzien in megawattuur per jaar;

i. de lozingsroute van het afvalwater; en

j. een verklaring van degene die het open bodemenergiesysteem ontwerpt over het energierendement dat het systeem zal behalen, uitgedrukt als SPF, dat wordt berekend volgens de formule:

image2020-5-18_9-17-10.png

waarbij wordt verstaan onder:

Qw: de hoeveelheid warmte per jaar in megawattuur die door het open bodemenergiesysteem wordt geleverd;

Qk: de hoeveelheid koude per jaar in megawattuur die door het systeem wordt geleverd;

E: de hoeveelheid elektriciteit per jaar in megawattuur die door het systeem wordt verbruikt; en

G: de hoeveelheid gas per jaar in megawattuur die door het systeem wordt verbruikt.

  • van open bodemenergiesysteem de volgende gegevens geregistreerd worden, en jaarlijks voor 1 april aan het bevoegd gezag worden aangeleverd (art. 4.1150):

a. de hoeveelheden warmte en koude die vanaf de datum waarop het open bodemenergiesysteem in gebruik is genomen aan de bodem zijn toegevoegd;

b. het jaarlijks energierendement; en

c. de gemiddelde temperatuur per maand van het grondwater dat door het systeem in de bodem wordt teruggeleid.

Hierbij bepaalt art. 4.1156 dat de hoeveelheden warmte en koude die aan de bodem worden toegevoegd, worden gemeten met momentane metingen met een meetonnauwkeurigheid van ten hoogste 5% die ten minste een keer per vijftien minuten worden verricht.

Zogenaamde Hoge Temperatuur Opslag valt -voor zover deze tot 500 meter beneden maaiveld liggen - onder open bodemenergiesystemen, waarbij opgemerkt dat geen sprake is van een energiebalans, aangezien alleen warm water wordt ingebracht, en dat het ingebrachte water een hogere temperatuur heeft dan voor reguliere open bodemenergiesystemen is toegestaan. 

Open bodemenergiesystemen die bij provinciale omgevingsverordening van vergunningplicht zijn vrijgesteld, blijven vanuit algemene wetgeving meldingsplichtig. Provincies kunnen meldingsplichtige open bodemenergiesystemen op basis van de omgevingsverordening ook vrijstellen van de meldingsplicht, en meldingsplichtige open bodemenergiesystemen kunnen door de provincie worden vrijgesteld van registratie- en aanleverplicht van productiecijfers.

Voor bodemenergiesystemen zijn meer details over procedures en richtlijnen voor uitwisseling van gegevens opgenomen in de BesluitvormingsUitvoeringsMethode en de HandhavingUitvoeringsMethode welke door SIKB zijn opgesteld. 

Ontwerp- vs Gerealiseerde gegevens en Status van een systeem

In de wet- en regelgeving is voor grondwateronttrekkingen en -infiltraties als ook voor bodemenergiesystemen aangegeven welke gegevens aangeleverd moeten worden. Gezien het feit dat deze gegevens voorafgaand aan de feitelijke aanleg worden aangeleverd, betreft dit uitsluitend ontwerpgegevens. In de praktijk blijft het vaak bij de aanlevering van deze ontwerpgegevens, hoewel in voorkomende gevallen wel voorschriften bestaan om (bepaalde) afwijkingen van het ontwerp tijdens realisatie terug te melden bij het bevoegd gezag. Het bevoegd gezag heeft de mogelijkheid om voorschriften op te nemen in de vergunning om de definitieve, gerealiseerde gegevens (X,Y-coördinaten en filterstelling) achteraf te doen verstrekken. Door stakeholders is aangegeven is dat zowel ontwerpgegevens als  de gerealiseerde gegevens hergebruikswaarde hebben en daarmee in de BRO geregistreerd zouden moeten worden (indien ze aan bevoegd gezag moeten worden aangeleverd). Onderkend is ook dat de gerealiseerde, werkelijke gegevens bij afwijkingen op ontwerp waardevoller zijn dan ontwerpgegevens. Gegevens van het  Registratieobject Booronderzoek kunnen mogelijk dienen  om de feitelijke locaties vast te leggen. Volgens SIKB protocol 2101 mechanisch boren moet er een verslag worden bijgehouden/gemaakt van de uitvoering van de boorwerkzaamheden. In dit verslag moeten ook de definitieve gegevens van X,Y en filsterstelling zijn vermeld. 

Anders dan bij de gesloten bodemenergiesystemen worden in wet- en regelgeving geen voorschriften gegeven voor het aanleveren van informatie voorafgaand aan het buiten bedrijf stellen van grondwateronttrekking-, -infiltratie- en open bodemenergiesystemen. Tijdens de gegevensinhoudelijke uitwerking van dit registratieobject is aandacht nodig voor de registratie van kenmerken van deze fase. Hoewel uit de periodiek aan te leveren productiecijfers kan worden afgeleid of een systeem nog operationeel is, heeft het meerwaarde om expliciet in de BRO op te nemen of een systeem definitief buiten gebruik is gesteld en ook als zodanig is "opgeruimd"/"ontmanteld".


Relevante standaarden


Voor de BRO zijn een aantal generieke normen, standaarden en protocollen voor uitwisseling van informatie, techniek etc. relevant. Voorbeelden hiervan zijn IM-metingen, NEN3610. Deze zaken zijn in dit hoofdstuk niet benoemd omdat dit een generiek aspect van de BRO betreft.

Ten aanzien van dit domein bestaan er een aantal mogelijk relevante standaarden en normen voor het definiëren van de gegevensinhoud. De inhoud en de bruikbaarheid/toepasbaarheid ervan in de BRO wordt getoetst tijdens het standaardisatieproces.


AQUO (UM Aquo Waterwet)

Dit is een standaard voor het uitwisseling van gegevens tav aanvragen van waterwetvergunning; wordt gebruikt in het OLO, in zaaksystemen en LGR 

BRL SIKB 2100 Mechanisch boren;

BRL SIKB 11000 Ondergronds deel Installaties bodemenergie; 

BRL 12000 grondwateronttrekking bronbemaling

Dit zijn beoordelingsrichtlijnen voor het uitvoeren van boringen, inrichten van bodemenergiesystemen en van tijdelijke grondwaterbemalingen.

NEN NTA 8800: rekenmethode energieprestatie gebouwen

Voor de bepaling van de energieprestatie van een gebouw is de rekenmethode NTA 8800 beschikbaar. NTA 8800 is een methodiek die van toepassing is op zowel nieuwbouw, bestaande bouw, woningbouw als utiliteitsbouw. De nieuwe methode vervangt een aantal bestaande methoden voor nieuwbouw en bestaande bouw, namelijk NEN 7120, Nader Voorschrift en ISSO 75.3. NTA 8800 volgt de Europese normen en vervangt de huidige EPC- en EI-indicatoren door de energiebehoefte per vierkante meter (kWh/m2).

OGC WaterML 2

Een door het Open Geospatial Consortium (OGC) gepubliceerde internationale, open standaard over waterobservatiegegevens, met als doel de uitwisseling van dergelijke gegevens tussen informatiesystemen mogelijk te maken. In WaterML zijn ook grondwaterputten, voor infiltratie en onttrekking, en de 'onttrekkingslicentie' opgenomen.

INSPIRE

INSPIRE (Infrastructure for Spatial Information in Europe) is een initiatief van de Europese Commissie. Deelnemende landen werken hierin samen om standaarden te ontwikkelen die de uitwisseling van ruimtelijke gegevens makkelijker maakt voor het beleid over de leefomgeving. De gegevensinhoud van de BRO moet dan ook worden afgestemd met de INSPIRE standaarden voor ondergrondgegevens. Het registratieobject GUF valt onder het INSPIRE thema 'Faciliteiten voor productie en industrie'. Het zou voor wat betreft bodemenergiesystemen ook onder "energie resources"(ER) moeten vallen maar het blijkt dat het huidige INSPIRE model voor dit thema daar niet in voorzien heeft. We overwegen een change request richting INSPIRE dat zal echter naar verwachting een behoorlijke doorlooptijd hebben. Mogelijk kunnen we wel de "as-is" dataset onder dit thema ontsluiten. Het registratieobject grondwaterproductiedossier (GPD) valt onder het thema "mileubewakingsvoorzieningen" (EF). Voor beide registratieobjecten (grondwatergebruiksysteem en grondwaterproductiedossier) maken we een 'mapping'*  op de INSPIRE standaard omdat de overlap met de INSPIRE standaard redelijk beperkt is. Voor de analyse wordt gebruik gemaakt van de zgn. keuzeleidraad INSPIRE (zie bijlage 3). De gegevensinhoud van het LGR is INSPIRE compliant. LGR is aangemerkt in het aanmerkingenregister voor INSPIRE totdat de BRO in productie gaat, dan wordt de LGR afgemerkt. 

*Bij een mapping vertalen we de gegevensinhoud van het registratieobject naar het INSPIRE model. Bij een extend nemen we het INSPIRE model als uitgangspunt en breiden dat uit op de voor het registratieobject benodigde punten. 

DSO en gemeentelijke standaarden voor vergunningen

Ten aanzien van de uitwisseling van vergunningsgegevens zijn voor gemeentes ( en mogelijk ook voor andere overheden) de volgende gemeentelijke standaarden van belang ( deze worden ook gebruikt in de in Hoofdstuk 4 genoemde zaaksystemen): 

Zaak- en documentservices 1.2 maakt gebruik van StUF-zaken ( op de PasToeEnLegUit-lijst van forum standaardisati): https://www.forumstandaardisatie.nl/open-standaarden/stuf

Gemma standaarden https://www.gemmaonline.nl/index.php/GEMMA2/0.9/id-be7c3b21-8db0-11e3-67ab-0050568a6153 en https://www.gemmaonline.nl/images/gemmaonline/0/0e/Specificatie_Zaak-_en_Documentservices_v1.2.pdf

VNG werkt al wel aan een beoogd moderne opvolger: https://www.vngrealisatie.nl/producten/api-standaarden-zaakgericht-werken

Daarnaast zijn de DSO standaarden rondom vergunningen mogelijk relevant : https://aandeslagmetdeomgevingswet.nl/digitaal-stelsel/aansluiten/standaarden/stam-imam/

 Relevante documentatie

De volgende documentatie is relevant voor dit Domein:

  • Globale Architectuurschets  (GAS) van de BRO 

  • ProgrammaStartArchitectuur (PSA) van de BRO

  • www.wetten.nl: wetteksten en informatie over Omgevingswet  en Waterwet 

  • Wegwijzer van Waterwet naar Omgevingswet- een praktische handleiding - 2018  

  • Instructiehandleiding Landeljk GrondwaterRegister v 8.0 - 2019 - Bij12 

  • Vooronderzoek  "Scopewijziging bodemenergie-systemen in de BRO - consequentieanalyse " 2019 - Kadaster

  • Architectuur Vooronderzoek Bodemenergie systemen in de BRO - 2019 - Programmabureau BRO


 Inhoudelijke keuzes op hoofdlijnen

Dit hoofstuk bevat een overzicht van de voorgestelde grondwatergebruiksgegevens op hoofdlijnen die in de BRO geregistreerd gaan worden. Dit voorstel is het resultaat van de discussies en verkenningen die tijdens de scopingfase, samen met het stakeholderveld hebben plaatsgevonden. De rationale achter dit voorstel is:

  • Dat met deze gegevens wordt voldaan aan de Wet BRO;

  • Het zijn gegevens die volgens Omgevingswet (BAL) /Waterwet door vergunningnemers/meldingsplichtiges moeten worden aangeleverd aan bevoegd gezag; er onstaat daarme geen extra administratieve last voor vastleggen van gegevens;

  • De gegevens hebben hergebruikswaarde;

  • Het zijn de essentiele grondwatergebruiksgegevens; ofwel het is niet 'meer dan noodzakelijk'            

De BRO in relatie tot informatie uit het verleden, de toekomst en overige informatie

Voor de BRO maken we met belanghebbenden afspraken over welke gegevens we gaan uitwisselen.

IMBRO

Nieuwe gegevens die in de (nabije) toekomst vanuit het wettelijk BRO-kader moet worden aangeleverd, valt onder het IMBRO kwaliteitsregime. Welke gegevens dit zijn wordt vastgelegd in een catalogus Informatiemodel Basisregistratie Ondergrond (IMBRO). Dit betreft gegevens, die zijn ingenomen door bevoegd gezag vanaf de datum waarop de wet van kracht wordt.

IMBRO/A

Daarnaast zijn er gegevens die in het verleden is vastgelegd. Voor de bestaande archieven DINO (van TNO-GDN) en BIS (van WENR) bestaat een wettelijke verplichting om relevante informatie in de BRO in te brengen. Er is ook de mogelijkheid voor belanghebbenden om gegevens uit andere archieven of bestaande registers, zoals LGR (zie Hoofdstuk 5) op vrijwillige basis in te brengen. Bij de aanlevering van deze historische gegevens (die verzameld zijn vóór de inwerkingtreding van de wet BRO) wordt geaccepteerd dat een aantal in IMBRO verplichte gegevens niet bekend is. De eisen voor deze historische informatie leggen we vast in het IMBRO/A kwaliteitsregime, dat kent dus minder strikte regels.

Tijdens het standaardisatieproces wordt in eerste instantie gekeken naar de afspraken van IMBRO, en vervolgens wordt bekeken wat dit betekent voor reeds bestaande informatie. Zo krijgt men inzicht in de verschillen en kan men IMBRO/A bepalen.

Gegevens over productie, die horen bij het grondwaterproductiedossier (GPD), worden minimaal vanaf de datum waarop de wet voor dit registratieobject van kracht wordt onder IMBRO kwaliteitsregime aangeleverd. Het grondwaterproductiedossier is gekoppeld aan het grondwatergebruiksysteem (GUF) waaruit het water wordt onttrokken. Wanneer de gegevens over het grondwatergebruiksysteem al langer geleden zijn ontstaan, kunnen deze gegevens onder het IMBRO/A kwaliteitregime in de BRO worden opgenomen. Een GPD met een IMBRO kwaliteit kan dus gekoppeld zijn aan een GUF met een IMBRO/A kwaliteit.

IMBRO gegevensinhoud van Grondwatergebruiksysteem (GUF) en Grondwaterproductiedossier (GPD)


Het domein Grondwatergebruik omvat twee registratieobjecten: Grondwatergebruiksysteem (de systeemkenmerken o.b.v. vergunning of melding) en Grondwaterproductiedossier (periodieke gemeten productiecijfers). 

Het RO Grondwatergebruiksysteem is bedoeld om afnemers van de BRO inzicht te geven in systemen die grondwater gebruiken. Dit gaat zowel om het directe (oppompen of infiltreren) als het indirecte (warmtecapaciteit benutten) gebruik van grondwater. In dit registratieobject worden de volgende gegevens die een algemeen belang dienen, in IMBRO kwaliteitsregime vastgelegd:

  • Geografische locatie: X Y coördinaten

    • Tijdens de gegevensinhoudelijke uitwerking wordt de noodzaak/wenselijkheid nader ingevuld om laterale geometrie te registreren van bijvoorbeeld  horizontale onttrekkingsputten, bodemenergiekorven of horizontale bodemenergielussen en infiltratiekanalen; 

  • Bevoegd gezag;

  • Systeemeigenaar (vergunningnemer/meldingsplichtige);

  • Gebruiksdoel/vorm van grondwatergebruik;

  • Specificatie van technisch ontwerp, zoals put/filterdiepte, pompcapaciteit;

  • Gepland grondwatergebruik;(vergunde) hoeveelheden;energetische aspecten (indien van toepassing) 

  • Specificaties van gerealiseerde systeem:  indien deze afwijken van de ontwerpgegevens ( zie ook 6.3); 

  • Status van de systeem (vergund/gerealiseerd/buiten gebruik etc) + datumsOnderkend wordt dat bij bijvoorbeeld drinkwaterwinningen een verleende vergunning in subonderdelen (bijvoorbeeld diepte of deelgebied afhankelijk) in gebruik wordt genomen. Dit moet gegevensinhoudelijk uitgewerkt worden.

Te registreren grondwatergebruiksystemen kennen een inhoudelijke hiërarchie, waarbij een vergunning één of meer systemen/installaties kan omvatten. Een systeem/installatie bestaat uit één of meer putten, bronnen of lussen. Een systeem/installatie kan bijvoorbeeld bestaan uit onttrekkingsputten en infiltratieputten. Individuele putten, bronnen of lussen kunnen op hun beurt één of meerdere filters bevatten.

Van vergunningplichtige systemen worden gegevens geregistreerd nadat de vergunning is verleend. Bij het uitwerken van de gegevensdefinitie zal beoordeeld worden of het zinvol is om de BRO-gegevensinhoud van 'grote onttrekkingen' af te laten wijken van de gegevensinhoud van 'kleine onttrekkingen'.

Open Issue tav vrijgave gegevens: De waterbedrijven en VEWIN hebben gevraagd  hoe om te gaan met de registratie en met name de vrijgave van gegevens  die hun "vitale"  infrastructuur betreffen?  In een juridisch onderzoek naar de oplossingsrichtingen (wel of niet registreren van vertrouwelijke gegevens) is vastgesteld dat vertrouwelijke gegevens wel geregistreerd gaan worden in de BRO, maar dat de bronhouder de regie gaat voeren over de uitgifte van deze vertrouwelijke gegevens. Het Programmabureeau BRO werkt aan functionele uitwerking van deze oplossing waarbij de bronhouder  bij registratie het vertrouwelijke karakter van gegevens kan aangeven. Eeventuele uitgifte van deze vertrouwelijke gegevens zal dan via de bronhouder gaan plaatsvinden.      

RO Grondwaterproductiedossier is gericht op de periodieke registratie van het feitelijke gebruik van grondwater. Hierbij worden periodiek vastgelegd:

  • verwijzing naar RO Grondwatergebruiksysteemnader vast te stellen: op welk niveau ( systeem/installatie/put) van het systeem de verwijzing moet liggen 

  • de hoeveelheid opgepompt of geïnfiltreerd water.frequentie van registratie is in ieder geval jaarlijks, maar mogelijk per kwartaal of per maand

De te registreren kenmerken volgen uit reeds bestaande aanleverplichten voor vergunningnemers/meldingsplichtigen, zoals beschreven in wet- en regelgeving (hoofdstuk 6).

 

Buiten scope vam IMBRO

Het voorstel is om de volgende aspecten buiten scope van de BRO gegevensinhoud te houden: 

  • Gegevens van vergunningsaanvragen, voorafgaand aan vergunningverlening. Deze gegevens hebben nog geen formeel karakter, dienen daarmee nog geen algemeen belang (geen hergebruikswaarde) en ze hebben geen authentiek karakter.

  • Gemodelleerde stijghoogte- en of thermische invloedsgebieden van grondwateronttrekkingen en bodemenergiesystemen.  Deze 'invloedsgebieden' (vaak afgebeeld in 2D kaartbeeld weergegeven isohypsen en of isothermen) zijn het resultaat van geohydrologische modelsimulaties of -berekeningen. Hierbij worden naast feitelijke gegevens ook diverse aannames of ruwe schattingen m.b.t. ondergrondeigenschappen (doorlatendheid, porositeit, warmtecapaciteit, thermisch geleidingsvermogen) en systeemontwerp (beoogde, gemiddelde debieten, temperatuurverschillen) worden gebruikt. Deze aannames en schattingen leiden tot diverse, niet gekwantificeerde onzekerheden in model-of berekeningsuitkomsten. Naast deze onzekerheden is ook de manier waarop door de diverse adviseurs de berekening/ modellering van effecten in de ondergrond wordt uitgevoerd niet uniform en niet gestandaardiseerd. Richtlijnen daarin ontbreken momenteel. Zowel de nauwkeurigheid, de kwaliteit als de wijze van totstandkoming is dus niet goed expliciet vast te leggen. Met name bij kleine onttrekkingen worden in dehuidige praktijk de stijghoogte- invloedsgebieden door vergunningnemer  niet berekend en gerapporteerd aan bevoegd gezag. Daarom zijn deze  gemodelleerde of berekende 'invloedsgebieden' niet aan te wijzen als authentieke gegevens. Ze vallen daarmee buiten scope. Tevens wordt geconstateerd dat gemodelleerde of berekende 'invloedsgebieden in de toekomst van de BRO onder de categorie Modellen (BROwet  artikel 22) zouden moeten vallen. 

  • De BRO ProgrammaStuurGroep gaf in oktober 2019 reeds aan dat de registratie van energetische productie-aspecten (hoeveelheid warmte en koude, energierendement, gemiddelde temperatuur) van gesloten én open bodemenergiesystemen wél tot de ambitie behoort, maar dat deze vooralsnog buiten scope wordt gehouden, tot nader onderzoek helderheid geeft over de consequenties van het registreren daarvan. Het juridische kader (Hoofdstuk 6) laat zonneklaar zien dat deze gegevens in feite al aangeleverd moeten worden aan het bevoegd gezag. In de praktijk blijkt echter dat deze gegevens lang niet altijd aangeleverd worden. Tegelijkertijd is in deze scopingfae door betrokken adviseurs op het gebied van bodemenergie het belang van centrake registratie (en van het kunnen hergebruiken van deze gegevens) nog eens benadrukt. 

De gegevensinhoudelijke onderdelen die buiten scope zijn, kunnen in de toekomst (in de beheerfase en na heroverweging) alsnog binnen scope komen van de IMBRO-gegevensinhoud van dit Domein.

Beheerfase standaarden 

Uitkomst van het standaardisatieproces is een versie 1.0 van de standaard. Deze versie is het resultaat van afgewogen keuzes binnen de complexiteit van de vakgebieden, de verschillende heersende opvattingen binnen het werkveld en het verschil in volwassenheidsniveau van digitalisering bij belanghebbenden. De 1.0-versie is de standaard die wettelijk verplicht is.

Na implementatie van versie 1.0 begint het daadwerkelijke gebruik en zal de standaard verder ontwikkelen. De eisen en wensen voor doorontwikkeling kunnen een verschillende basis hebben, bijvoorbeeld:


  1. Inhoudelijke wensen (scope) die in eerdere versies niet zijn opgenomen. Het gaat om gegevens die bij het registratieobject horen, maar waarvoor de tijd ontbrak om ze in een eerdere versie op te nemen. Het kan in de toekomst ook gaan om gegevens uit de COB (Centrale Opslag Bronhouders) omgeving  die onder het wettelijk regime en in de BRO worden geplaatst.

  2. Verbeteringen in de gegevensuitwisseling om de kwaliteit van de uit te wisselen informatie te verhogen.

  3. Verbeteringen die te maken hebben met de implementeerbaarheid en toepassing van de standaard.


Over de organisatorische invulling van het beheer en het beheerproces worden de komende periode nadere afspraken gemaakt.

 Aanpak en langetermijnplanning

De standaardisatie van dit registratiedomein, met 2 registratieobjecten,  gebeurt met een Agile-aanpak, die bestaat uit 17 sprints van vier weken. In de afgelopen 4 sprints is vanaf medio Februari 2020 gewerkt aan het opstellen van het onderhavige Domein-brede scopedocument. Parallel daaraan is vanaf medio Februari ook al een begonnen aan de informatieanalyse die nodig is voor het opstellen van de gegevenscatalogi van de twee registratieobjecten.

De indeling van sprints voor dit registratiedomein is daarmee als volgt:

  1. Vier sprints voor het opstellen van het scopedocument versie 0.9: een beschrijving van de afbakening, de wettelijke kaders, stakeholders, software en standaardenomgeving van het registratiedomein.

  2. Negen sprints voor de informatieanalyse en het opstellen van versie 0.9 van de twee gegevenscatalogi IMBRO en IMBRO/A.

  3. Twee sprints voor het uitvoeren van de publieke consultatie van versie 0.9 van de gegevenscatalogi.

  4. Twee  sprints voor het verwerken van het resultaat van de publieke consultatie in versie 0.99 van de gegevenscatalogi.

  5. Twee sprints voor het opstellen van brondocumenten en het definitief maken van de technisch ontwerp producten: xsd’s, voorbeeldberichten en de berichtencatalogi.

  6. De ervaring leert dat de implementatie van het registratieobject door het bouwteam nog tot feedback op de standaard leidt, met name op de berichtuitwisseling. In de praktijk duurt dit twee sprints voor de bouw en één sprint voor de correctie van de standaard.

Iedere sprint eindigt met een sprintreview met belanghebbenden (bronhouders, afnemers, dataleveranciers, SW-leveranciers): online en fysiek wisselen elkaar af. Er is doorlopend feedback mogelijk op de standaard via de GitHub-site en via bilateraal overleg.

Afstemming op inhoudelijke hoofdlijnen vindt plaats via de domeinbegeleidingsgroep (DBG) Grondwater. Besluitvorming vindt plaats via DBG, algemeen overleg, programmabegeleidingsgroep en programmastuurgroep.

Planning

De planning per juni 2020 voor het registratiedomein Grondwatergebruik is als volgt:


Standaardisatieproduct/activiteit

Gereed in sprint #

Scopedocument versie 0.9

34 (juni 2020)

Gegevenscatalogi versie 0.9

38 (oktober 2020)

Publieke consultatie gegevenscatalogi versie 0.9

40 (december 2020)

Gegevenscatalogi versie 0.99

42 (februari 2021)

Berichtencatalogi en xsd’s

44 (april 2021)

Feedback Bouwteam verwerken

46 (juni 2021)



Bijlagen


  File Modified Labels No labels Edit Labels Preview View Properties Delete Microsoft Word Document 20200107_Scopedocument Grondwatergebruik 0.1.docx Sept 30, 2024 by Wilfried ter Woerds Labels No labels Edit Labels Preview View Properties Delete PNG File image2020-2-24_11-36-59.png Sept 30, 2024 by Wilfried ter Woerds Labels No labels Edit Labels Preview View Properties Delete Microsoft Powerpoint Presentation 20200113 issue wel of geen RO vergunning.pptx Sept 30, 2024 by Wilfried ter Woerds Labels No labels Edit Labels Preview View Properties Delete Microsoft Powerpoint Presentation 20200227 issue wel of geen RO vergunning - vergunningsgegevens.pptx Sept 30, 2024 by Wilfried ter Woerds Labels No labels Edit Labels Preview View Properties Delete PNG File image2020-4-29_17-24-39.png Sept 30, 2024 by Wilfried ter Woerds Labels No labels Edit Labels Preview View Properties Delete PNG File image2020-4-29_17-43-26.png Sept 30, 2024 by Wilfried ter Woerds Labels No labels Edit Labels Preview View Properties Delete PNG File image2020-4-29_17-44-6.png Sept 30, 2024 by Wilfried ter Woerds Labels No labels Edit Labels Preview View Properties Delete PDF File 20200501_Scopedocument Grondwatergebruik 0.6.pdf Sept 30, 2024 by Wilfried ter Woerds Labels No labels Edit Labels Preview View Properties Delete Microsoft Word Document 20200501_Scopedocument Grondwatergebruik 0.6.docx Sept 30, 2024 by Wilfried ter Woerds Labels No labels Edit Labels Preview View Properties Delete PNG File image2020-5-18_9-16-22.png Sept 30, 2024 by Wilfried ter Woerds Labels No labels Edit Labels Preview View Properties Delete PNG File image2020-5-18_9-17-10.png Sept 30, 2024 by Wilfried ter Woerds Labels No labels Edit Labels Preview View Properties Delete PNG File image2020-5-25_15-59-44.png Sept 30, 2024 by Wilfried ter Woerds Labels No labels Edit Labels Preview View Properties Delete PNG File image2020-5-25_16-3-14.png Sept 30, 2024 by Wilfried ter Woerds Labels No labels Edit Labels Preview View Properties Delete PNG File image2020-6-5_14-27-17.png Sept 30, 2024 by Wilfried ter Woerds Labels No labels Edit Labels Preview View Properties Delete PDF File 20200622_Scopedocument Grondwatergebruik 0.9.pdf Sept 30, 2024 by Wilfried ter Woerds Labels No labels Edit Labels Preview View Properties Delete Microsoft Word Document 20200622_Scopedocument Grondwatergebruik 0.9.docx Sept 30, 2024 by Wilfried ter Woerds Labels No labels Edit Labels Preview View Properties Delete Microsoft Powerpoint Presentation INSPIRE keuzeleidraad GU_20200708.pptx Sept 30, 2024 by Wilfried ter Woerds Labels No labels Edit Labels Preview View Properties Delete PDF File 20201216_Scopedocument Grondwatergebruik 1.0.pdf Sept 30, 2024 by Wilfried ter Woerds Labels No labels Edit Labels Preview View Properties Delete Microsoft Word Document 20201216_Scopedocument Grondwatergebruik 1.0.docx Sept 30, 2024 by Wilfried ter Woerds Drag and drop to upload or browse for files Upload file File description Download All


Principes voor de mate van standaardisatie


De reikwijdte van de standaardisatieactiviteiten is een blijvend punt van aandacht. De nodige eenvoud voor implementatie van de BRO enerzijds en de behoefte aan diep en breed gebruiksnut bij stakeholders anderzijds staan haaks op elkaar. De wet BRO geeft te weinig richting om inhoudelijke keuzes op te baseren.


Van de 12 eisen voor de basisregistraties zijn de criteria voor inhoud, bereik, kwaliteit en transparantie van gegevens slechts globaal beschreven. Hierdoor is er veel ruimte voor interpretatie. Om meer houvast en duidelijkheid te geven aan de opdrachtgever (het ministerie van BZK), de stakeholders en aan het standaardisatieteam hebben de opdrachtgever en het team standaardisatie de volgende principes voor de standaardisatie-activiteiten van de BRO opgesteld

Leidende principes vanuit de opdrachtgever

  • Wetgeving op EU- en landelijk niveau

  • Minimal viable product: keep it simple

  • Bestuurlijke afwegingen:beperking faalkosten: inzicht in de ondergrond (MIRT, HWBP)draagt bij aan het Wettelijk beoordelingsinstrumentarium (WBI) primaire waterkeringen (Deltaprogramma)ruimtelijke beperking: wat ligt waar? (onder andere Instrumenten Omgevingswet)wat heeft impact op de fysieke omgeving (onder andere energietransitie)?

  • Alleen statische, geen dynamische modelle

Principes omtrent proces

  1. De opdrachtgever geeft bij aanvang van het standaardiseren van een domein of registratieobject de beoogde scope, de primaire gebruikersgroep(en), de bestaande afspraken en andere randvoorwaarden mee aan het standaardisatieteam, en bespreekt met het standaardisatieteam de uitwerking van de leidende principes op het standaardisatietraject.

  2. Het standaardisatieteam volgt de scopewijzigingsprocedure:het standaardisatieteam draagt bij aan het opstellen van de outline scope en business case.het standaardisatieteam draagt bij aan het opstellen van de uitgewerkte scope en business case.het standaardisatieteam stelt de keuze standaardisatieniveau op door bij aanvang van de werkzaamheden een scopedocument op te stellen samen met de belanghebbenden. De uitgangspunten van de opdrachtgever maken hier deel van uit.


  1. Het standaardisatieteam werkt iteratief met stakeholders bij het ontwikkelen van de standaard.

  2. Bij alle stappen stelt de PSG vast (advies aan de minister van BZK), de DBG en de PBG adviseren.

Principes omtrent inhoud

  1. De minimale inhoud van een registratieobject hangt af van de doelgroep (stakeholders) en het gebruiksnut (beoogd doel). De opdrachtgever is hierin leidend: zie procesprincipe #1.

  2. Bij de afweging van belangen (inhoudelijke keuzes) hanteert het standaardisatieteam de volgende prioriteiten:kaders: EU-wetgeving, NL-wetgeving, kaders van de opdrachtgever, relevante normen en standaarden, interne consistentie BROstakeholders: afnemer, bronhouder, dataproducent, dataleverancier, softwareleverancier, beheerder, ketenvoorzieningengebruik: produceerbaar, herbruikbaar (door zoveel mogelijk derden), implementeerbaar, beheerbaar

  3. Een beoogd gegeven dat niet definieerbaar is in gestructureerde gegevens komt niet in de BRO.

  4. Een registratieobject wordt niet omvangrijker gemaakt dan nodig is voor het beoogde doel (minimal viable product).Geen deelleveringen, tenzij…Geen materiële geschiedenis, tenzij…Geen verwijzingen naar andere registraties, tenzij…

  5. Niet langer aan een registratieobject werken dan nodig is om #4 te bereiken.

  6. Niet langer werken aan een registratieobject dan de overeengekomen timebox.

  7. Wanneer verwacht wordt dat het beoogde resultaat niet binnen de timebox kan worden gerealiseerd, dan wordt de (her)prioritering op tijd bepaald met de opdrachtgever.

Werkwijze beheer scopedocumenten


  • Sinds 2018 stelt het team standaardisatie voor ieder registratieobject/deelverzameling aan het begin van het ontwikkeltraject een scopedocument op.


  • Versie 0.9x van het scopedocument wordt vastgesteld in de programmastuurgroep (PSG) op advies van de domeinbegeleidingsgroep (DBG) en op advies van de programmabegeleidingsgroep (PBG).


  • Na vaststelling door de PSG krijgt het scopedocument versienummer 1.0.


  • Het programmabureau BRO publiceert versie 1.0 op de BRO-website.


  • Het team standaardisatie houdt de wijzingen bij in een werkversie. De wijzigingen volgen onder meer uit nieuwe inzichten en de voortgang van de ontwikkelwerkzaamheden. Het wijzigingenblad in het scopedocument laat zien wat de aanpassingen zijn. De werkversie ‘1.x’ van het scopedocument is beschikbaar via GitHub.


  • Wanneer voldoende wijzigingen zijn opgenomen en het belangrijk is dat een actualisatie van het scopedocument beschikbaar komt via de BRO-website, wordt de bijgewerkte versie ter informatie, ter advies of ter vaststelling (afhankelijk van de aard van de wijzigingen) besproken in de domeinbegeleidingsgroep (DBG).


  • De DBG kan beslissen het scopedocument met een advies en vaststelling voor te leggen voorleggen aan de programmabegeleidingsgroep (PBG) en de PSG.


  • Na vaststelling van het scopedocument publiceert het programmabureau de nieuwe versie op de BRO-website.


  • Bij het opleveren van een gegevenscatalogus 0.99 aan de PSG (ter vaststelling) levert het team standaardisatie een consistent bijgewerkt scopedocument mee.


  • Na vaststelling van de catalogus door de PSG wordt het scopedocument niet meer bijgewerkt, tenzij in de tranche erna nog een aanvulling op de catalogus van het registratieobject volgt. 

Keuzeleidraad INSPIRE

Criterium per registratieobject (RO): urgentie van de INSPIRE-compliance van het registratieobject

Wel/niet nodig, wanneer

GUF

GPD

Is het RO INSPIRE-plichtig? Zo ja, voor welke thema’s? Uitgangspunt: actuele planning van RO’s en tranches op het moment van toepassing van de leidraad.

Ja (2017 of 2020) + opsomming thema’s / nee

Ja: Production and Industrial Facilities (PF), (en energiebronnen *), 2020

Ja, milieubewakingsvoorzieningen (EF) , 2020

Is het RO een EU-prioriteit? Zo ja, wanneer dan? Waaruit blijkt dat? (context, criterium voor planning)

1. rapportageverplichting KRW e.a. (welke rapportage)

2. het RO is een prioriteit vanwege een specifiek EU-project (welk project?)

3. het RO staat op de prioritaire datasetlijst van INSPIRE.

Ja/nee

Beschrijving

1: ja (drinkwateronttrekkingspunten)

2: nee

3: ja

1: nee

2: nee

3: nee

Is er een risico op boete? (context)

Ja/nee

Verhoogd, laag…

nee

nee

Verwacht gebruik van de INSPIRE-dataset - buiten Nederland (aantal partijen, aantal lidstaten, etc.) wie dan? Grensoverschrijdend, cross border problematiek (context, criterium voor planning)

Beschrijving

Buiten Nederland: nee

Grensoverschrijdend : ja, mogelijk

Buiten Nederland: nee

Grensoverschrijdend : ja, mogelijk

Is er een bestuurlijk risico/kans gegeven de keuze/planning voor implementatie maatschappelijk veld in NL, 2de kamer, eigen departement, (context, criterium voor planning)

Ja/nee

Beschrijving

Nee, misschien vanwege vervanging LGR**

Nee, misschien vanwege vervanging LGR**

* Bodemenergiesystemen vallen inhoudelijk onder INSPIRE thema ‘energiebronnen’. Echter is in de codelijst in het datamodel voor Energiebronnen bodemenergie niet als specifieke duurzame energiebron opgenomen. En deze codelijst is niet uitbreidbaar, maar gesloten. Dit betekent dat de bodemenergie niet geharmoniseerd naar het INSPIRE datamodel kunnen worden ontsloten. Daarom is besloten om voor nu het thema Energiebronnen niet mee te nemen in de keuzeleidraad. De “as-is” dataset van GUF kunnen we mogelijk nog onder Energy Resources(ER) ontsluiten omdat we vinden dat de dataset wel onder thema valt ook al kunnen we er niet geharmoniseerd naar mappen vanwege het issue van de gesloten niet uitbreidbare codelijst. We overwegen om een change request in te dienen op de gesloten codelijst van ER zodat bodemenergiesystemen hierbij opgenomen kunnen worden. Dit zal echter niet op korte termijn tot verandering leiden.

** LGR is aangemerkt totdat de BRO in productie gaat, dan wordt de LGR afgemerkt.

Criterium per registratieobject: voor keuze optie 1 of optie 2

Optie 1: mapping

Optie 2: in catalogus

GUF

GPD

Hoe hoog is de veranderlijkheid van het datamodel van het RO én van het INSPIRE-thema, hetzij vanuit EU hetzij vanuit NL.

Norm: 1x pj = hoog. Vanaf 1x p3jr = midden. Vanaf 1x p5jr = laag.

Hoog

laag

eerst midden, daarna laag

PF, laag

eerst midden, daarna laag

EF, laag

Hoe hoog is de veranderlijkheid van de codelijsten van het RO én van het INSPIRE-thema, hetzij vanuit EU hetzij vanuit NL.

Norm: 1x/mnd = hoog, 1x/kw = midden, Vanaf 1x/jr = laag

Opmerking: bij INSPIRE gaan de codelijsten uit de standaard vanwege de veranderlijkheid en het vereiste proces.

Hoog

laag

beide laag

beide laag

Is het RO een deel van een RO (deelverzameling) en welke optie is dan al geïmplementeerd voor het andere deel van het RO (met name relevant voor booronderzoek)?

Consistentie

Consistentie

nee

nee

Is het RO een prioriteit binnen de BRO? (planning en tranches)

Moet snel

We hebben de tijd

nee

nee

Impact op stakeholders (aanlevering én gebruik) bij ontwikkeling en beheer van de standaard/het RO. Norm:

Veel = combinatie van zowel publieke als private partijen, interbestuurlijk, kennisinstituten (diversiteit van stakeholders) en meer dan vijf data aanleverende partijen; 

Weinig = een enkele categorie bronhouders en onder de vijf data aanleverende partijen

Veel en diverse bronhouders / afnemers / dataleveranciers

Weinig en homogene groep bronhouders / afnemers / dataleveranciers

veel

veel




Criterium per registratieobject: voor keuze optie 1 of optie 2

Optie 1: mapping

Optie 2: in catalogus

GUF

GPD

Toepasbaarheid van de door INSPIRE geleverde standaard/attributen, hoe dicht ligt het bij het beoogde model NL/BRO; combi van mate van overlap en verschil. Norm:

·     Veel = veel overlap, veel verschil
·     Weinig = weinig overlap, weinig verschil

Veel verschil

Weinig verschil

Veel verschil

Veel verschil

Kwaliteit van het INSPIRE-model zelf (dit is een expertopinie door data analist/modelleur)

Matig, slecht

(heel) goed

goed 

goed 

Thema INSPIRE EU ‘staat tot’ thema RO NL (kan om verschillend detailniveau gaan)

niet 1:1

1:1

niet 1:1

niet 1:1

Uitwerking in webservices, omvang, complexiteit (ontwikkeling). Het gekozen uitgangspunt is hierbij van belang:

a)     een geharmoniseerde webservice per INSPIRE-thema of….

b)    Een INSPIRE-webservice per BRO RO.

Vraag: mag optie a binnen INSPIRE? Dat zou een versimpeling betekenen…?

Eenvoudig (tweemaal)

Complex (een)

eenvoudig

eenvoudig

Uitwerking in webservices, omvang, complexiteit (beheer) i.g.v. vernieuwing datamodel (EU of NL).

-> Zie hierboven

Complex (tweemaal)

Omvangrijk

Eenvoudig (een)

Complex(er) dan 1 service

Complex(er) dan 1 service



CONCLUSIE

voor registratieobject GUF en GPD

  • Voor GUF en voor GPD een mapping

  • –Zwaarst wegen

    • Overlap met INSPIRE model, weinig overlap

    • Raakt met 2 INSPIRE thema’s: Production and Industrial Facilities (PF), milieubewakingsvoorzieningen (EF)

  • We overwegen om de as-is dataset GUF wel onder ER te publiceren omdat dit thema het beste past bij de bodem energie systemen van GUF. Dit vergroot de vindbaarheid, dit is echter vanuit het aanmerkingsregister INSPIRE geen verplichting.

  • Voor de toekomst

  • –Mogelijk na aanpassing INSPIRE ook mapping naar ER mogelijk, dit is echter voor langere termijn.

 

Huidige wettelijk kader

Het RO Grondwatergebruiksysteem is onderdeel van de vierde tranche van de BRO, welke op 01-01-2022 in werking treedt. Op dat moment is de OmgevingsWet en het Besluit Activiteiten Leefomgeving (hierna BAL) ed. operationeel en vormt zij het juridische kader rond de het RO grondwategebruik. Ten tijde van het schrijven van dit scopedocument is dat evenwel nog niet het geval. In de hoofdtekst is wet- en regelgeving beschreven vanuit de OmgevingsWet en aanverwante Regelingen en Besluiten. Deze bijlage richt zich op de huidige wetgeving onder de Waterwet en dergelijke.

Wet- en regelgeving bepalen welk orgaan bevoegd gezag is, welke activiteiten vergunning- of meldingsplichtig zijn en (op hoofdlijnen) welke gegevens wanneer aan het bevoegd gezag aangeleverd moeten worden. In dit hoofdstuk geven we een overzicht van deze zaken.

Eenmalige gegevenslevering ihkv Vergunningverlening en of Meldingsplicht

In de waterwet is in artikel 6.4 opgenomen welke grondwateronttrekking vergunningplichtig (industriële grondwateronttrekking groter dan 150.000 m3 per jaar, openbare drinkwatervoorzieningen en bodemenergiesystemen) zijn waarvoor de provincie bevoegd gezag is.

In artikel 6.5 van de Waterwet is opgenomen dat voor grondwateronttrekkingen niet benoemd in artikel 6.4, het waterschap bevoegd gezag is. Tevens wordt het Rijk genoemd als bevoegd gezag, in artikel 6.10a van het Waterbesluit is uitgewerkt in welke situaties het Rijk bevoegd gezag is.

Zonder algemene maatregel van bestuur zijn alle grondwater onttrekkingen vergunningplichtig. In artikel 6.6 van de Waterwet is opgenomen dat een bevoegd gezag een algemene maatregel van bestuur mag opstellen om af te wijken van de ze vergunningplicht. Voor waterschappen is dat de Keur (met de Omgevingswet wordt dat de Waterschapsverordening). Per waterschap is dus een verschil welke grondwateronttrekkingen vergunningplichtig zijn en welke meldingsplichtig zijn. (Volgens artikel 6.11 van het Waterbesluit moet een grondwater onttrekking minimaal gemeld worden, dit kan niet onder de zorgplicht)

In de Waterregeling is in artikel 6.27 opgenomen welke informatie bij een melding en een vergunningaanvraag verstrekt moeten worden:

  • Gegevens zoals benoemd in artikel 6.19 van de Waterregeling:

  • Naam, adres, woonplaats, telefoonnummer en emailadres aanvrager

  • Geografische aanduiding locatie grondwateronttrekking (mbv situatietekening, kaart met ligging tov omgeving, foto’s of andere materialen)

  • Omschrijving aard, omvang, reden en doel van de grondwateronttrekking

  • Omschrijving aard en omvang van de gevolgen van de grondwateronttrekking

  • Periode waarin de grondwateronttrekking plaats moet vinden

  • In geval de grondwateronttrekking voor een ander wordt uitgevoerd, zijn naam, adres, plaats, telefoonnummer en emailadres

  • In geval van machtiging, zijn naam, adres, woonplaats, telefoonnummer en emailadres

  • Het doel waarvoor het te onttrekken grondwater wordt gebruikt;

  • Het aantal bestaande en nieuwe putten;

  • XY-coördinaten van de putten;

  • Diepte geperforeerde gedeelte van filters t.o.v. maaiveld en NAP;

  • Diameter en lengte van de filters;

  • Pompcapaciteit in m3/uur en het te installeren vermogen in m3/uur per put;

  • Maximaal te onttrekken hoeveelheden water per uur, per dag, per maand, per kwartaal en per jaar;

  • Een beschrijving van de maatregelen of voorzieningen die zijn of worden getroffen om negatieve gevolgen van de onttrekking te voorkomen of beperken.

Indien het gaat om een bodemenergiesysteem moeten naast bovenstaande gegevens, moet volgens artikel 6.29 van de waterregeling ook het volgende overlegd worden bij het aanvragen van een vergunning of indienen van een melding:

  • Gegevens zoals benoemd in artikel 6.28 van de Waterregeling voor het in de bodem brengen van water

  • Het aantal bestaande en nieuw in te richten putten

  • XY-coördinaten van de putten

  • Diepte geperforeerde gedeelte van filters t.o.v. maaiveld en NAP;

  • Diameter en lengte van de filters;

  • Pompcapaciteit in m3/uur en het te installeren vermogen in m3/uur per put;

  • Maximaal in de bodem te brengen hoeveelheden water per uur, per dag, per maand, per kwartaal en per jaar;

  • De wijze waarop het wat in de bodem wordt gebracht

  • Herkomst en samenstelling van het in de bodem te brengen water

  • Een beschrijving van de maatregelen of voorzieningen die zijn of worden getroffen om negatieve gevolgen van het water in de bodem brengen te voorkomen of beperken.

  • Capaciteit van de pomp waarmee het water in de bodem wordt gebracht in m3/uur

  • Maximaal in de bodem te brengen hoeveelheden water, per uur, per dag, per maand, per kwartaal en per jaar

  • De wijze waarop water in de bodem wordt gebracht

  • Samenstelling van het in de bodem te brengen water

  • Hydrologische effecten van het in de bodem te brengen water

  • Temperatuur van het in de bodem te brengen water (gemiddeld, maximum en minimum)

  • Omvang warmte- en koude behoefte waarin het bodemenergiesysteem voorziet

  • Energierendement in SPF (Seasonal Performance Factor), dat bodemenergiesysteem zal behalen bij voorzien gebruik, schriftelijk verklaring van de installateur

  • Het energierendement wordt bepaald met de volgende formule:

image2020-5-18_9-17-10.png

Qw = door bodemenergiesysteem geleverde warmte per jaar in MWh

Qk = door bodemenergiesysteem geleverde koude per jaar in MWh

E = door bodemenergiesysteem verbruikte hoeveelheid elektriciteit per jaar in MWh

G = door bodemenergiesysteem verbruikte hoeveelheid gas per jaar in MWh


Periodieke gegevenslevering van productiecijfers

Naast wat aangeleverd moet worden voor het kunnen aanvragen van een vergunning of indienen van een melding is in het Waterbesluit in artikel 6.11 ook vastgelegd welke gegevens aangeleverd moeten worden gedurende de uitvoering van de handelingen (het onttrekken van grondwater) waarvoor de vergunning of melding van toepassing is.

  • In elk kwartaal wordt de onttrokken hoeveelheid grondwater gemeten. De meter moet minimaal 95% nauwkeurig zijn.

  • Voor kortdurende of seizoensgebonden onttrekkingen kan in de vergunning of middels maatwerk (een keur mag gezien worden als een maatwerkbesluit), mag een kortere tijdspanne worden gemeten, bijvoorbeeld per dag, per week of per maand.

  • De gemeten hoeveelheden moeten jaarlijks voor 31 januari van elk jaar, of binnen een maand na beëindiging van de grondwateronttrekking worden aangeleverd aan het bevoegd gezag.

  • Een provincie (middels de provinciale verordening) en een waterschap (middels verordening van het waterschap) mogen afwijken van de hierboven genoemde voorwaarde als het gaat om grondwateronttrekkingen waarvoor zij bevoegd gezag zijn.

Voor Bodemenergie gelden uitgebreidere verplichtingen voor het leveren van productiecijfers. Deze zijn de HUM en de BUM uitgewerkt. Voor vergunningplichtige OBES (BUM Voorschriften 4, blz 58) moeten de volgende gegevens maandelijks worden geregistreerd. De geregistreerde gegevens moeten jaarlijks voor 1 april aan de provincie worden aangeleverd.

Voor OBES zijn dit maandcijfers van:

  • Onttrokken grondwater(m3)

  • In de bodem teruggebracht grondwater totaal (m3)

  • In de bodem teruggebracht grondwater tijdens koel-bedrijf (m3)

  • In de bodem teruggebracht grondwater tijdens verwarmings-bedrijf (m3)

  • Maximaal uurdebiet (m3/h)

  • Gespuid grondwater (m3)

  • Maximale temperatuur van het grondwater dat in de bodem is teruggebracht (°C) (meting na het passeren van de warmtepomp)

  • Gemiddelde temperatuur van het grondwater dat aan de bodem is onttrokken tijdens koelbedrijf (°C) (meting na het passeren van de warmtepomp)

  • Gemiddelde temperatuur van het grondwater dat in de bodem is teruggebracht tijdens koelbedrijf (°C) (meting na het passeren van de warmtepomp)

  • Gemiddelde temperatuur van het grondwater dat aan de bodem is onttrokken tijdens verwarmingsbedrijf (°C) (meting na het passeren van de warmtepomp)

  • Gemiddelde temperatuur van het grondwater dat in de bodem is teruggebracht tijdens verwarmingsbedrijf (°C) (meting na het passeren van de warmtepomp)

Tevens moeten de energieproductie per maand, per jaar en voor de gehele levensduur van het systeem worden geregistreerd en één keer per jaar worden aangeleverd:

  • Verwarmingsbedrijf: aan bodem toegevoegde koude (MWh)

  • Koelbedrijf: aan bodem toegevoegde warmte (MWh)

  • Energieverbruik ondergronds deel inclusief warmtepomp (kWh)

  • SPF Productiviteit (kWh / m3)

Voor GBES wordt onderscheid gemaakt tussen systemen groter dan 70KW en systemen kleiner dan 70 kW. Beide systemen houden een registratie bij, maar alleen de systemen groter dan 70 kW leveren deze jaarlijks voor 1 april aan bij het bevoegd gezag. Met betrekking tot het in werking hebben van een gesloten bodemenergiesysteem wordt een registratie bijgehouden, die de volgende gegevens bevat (Activiteitenbesluit Milieubeheer art. 3.16N):

  • De temperatuur van de circulatievloeistof in de retourbuis;

  • De hoeveelheden warmte en koude die vanaf de datum van ingebruikneming aan de bodem zijn toegevoegd, op zodanige wijze dat daaruit de data kunnen worden afgelezen, waarop aan artikel 3.16k is voldaan;

  • Het energierendement dat het systeem jaarlijks vanaf de datum van ingebruikneming heeft geleverd.